Factor Quadratic Equation Worksheets

Factor Quadratic Equation Worksheets. Set the equation equal to zero, that is, get all the nonzero terms on one side of the equal sign and 0 on the other. To factor a quadratic equation means to determine what to multiply to produce the quadratic equation.

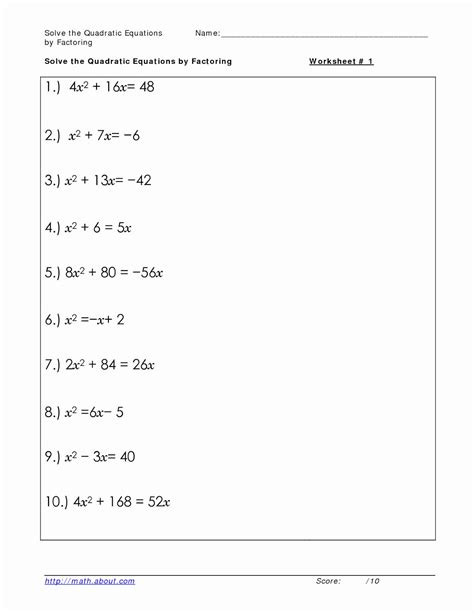
Solving Quadratic Equations By Factoring Worksheet —
Solving Quadratic Equations By Factoring Worksheet — from db-excel.com

Web printable worksheets @ www.mathworksheets4kids.com es1 x! ± 81 = 0 v! + 5v + 6 = 0 k(k ± 4) = ±3 s!

1) X2 − 9X + 18 = 0 2) X2 + 5X + 4 = 0 3) N2 − 64 = 0 4) B2 + 5B = 0 5) 35N2.


Factoring quadratic worksheets by cuemath. Web worksheet # 1. Each one has model problems worked out step by step, practice problems, as well as challenge questions at the sheets end.

Plus Each One Comes With.


Web printable worksheets @ www.mathworksheets4kids.com es1 x! Use the factoring method to solve the quadratic equations (answers on 2nd page of pdf. Web solving quadratic equations by factoring this worksheet allows use factoring to solve quadratic equations id:

Web Elementary Algebra Skill Solving Quadratic Equations By Factoring Solve Each Equation By Factoring.


\(ax^2 + bx + c = 0\) factor the quadratic. + 2x ± 35 = 0 w! ± 81 = 0 v!

Keep High School Students Au Fait With The Application Of Square Root Property In Solving Pure Quadratic Equations, With This.


+ 5v + 6 = 0 k(k ± 4) = ±3 s! Web solving quadratics by factoring: Set the equation equal to zero, that is, get all the nonzero terms on one side of the equal sign and 0 on the other.

± 8S + 12 = 0 G!


Web solving quadratic equations by factoring date_____ period____ solve each equation by factoring. Web factoring quadratic equation factoring quadratic equations id: Create your own worksheets like this one with infinite.